硫酸阿斯托霉素
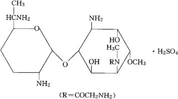
C17H35N5O6·2H2SO4=601.64 CAS-72275-67-3 4-氨基-1-(2-氨基-N-甲基乙酰胺基)-1,4-二脱氧-3-O-(2,6-二氨基-2,3,4,6,7-五脱氧-β-L-来苏-庚吡喃糖基)-6-O-甲基-L-手性-肌醇硫酸盐(1∶2)。 4-Amino-1-(2-amino-N-methylacetamido)-1,4-dideoxy-3-0(2,6-diamino-2,3,4,6,7-pentadeoxy-β-L-lyxo-heptopyranosyl)-6-O-methyl-L-chiro-inositol sulfate(1∶2). 抗菌药。 硫酸阿司米星。 Astromicin Sulfate,Abbott-44747. USAN. 
|