网站首页  词典首页


请输入您要查询的字词:

 

字词 硬脂酸红霉素[中]
类别 中英文字词句释义及详细解析
释义 硬脂酸红霉素[中]

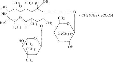
C37H67NO13·C18H36O2=1018.42

CAS 643-22-1

红霉素硬脂酸盐。

Erythromycin stearate(salt).

(3R,4S,5S,6R,7R,9R,11R,12R,13S,14R)-4-[(2,6-二去氧3C甲基-3-O-甲基-α-L-核-吡喃己糖基)氧]-14-乙基7,12,13-三羟基-3,5,7,9,11,13-六甲基-6-[[3,4,6-三去氧-3-(二甲氨基)-β-D-木-吡喃己糖基]氧]氧杂环十四烷-2,10-二酮硬脂酸盐。

(3R,4S,5S,6R,7R,9R,11R,12R,13S,14R)-4-[(2,6-Dideoxy-3-C-methyl-3-O-methyl-α-L-ribo-hexopyranosy[)oxy]-14-ethyl-7,12,13-trihydroxy-3,5,7,9,11,13-hexamethyl-6-[[3,4,6-trideoxy-3-(dimethylamino)β-D-xylo-hexopyranosyl]oxy]oxacyclotetradecane-2,10-dione stearate.

抗生素类药。

用于对青霉素耐药的葡萄球菌感染,也可用于链球菌、肺炎球菌的感染及白喉带菌者。

红霉素硬脂酸盐。

Erythromycin Stearate,Erythrocin Stearate,Bristamycin,Donmycin E,Erypar,Ethril,Pfizer-E,SK-Erythromycin,Wyamycin S.

硬脂酸红霉素片,硬脂酸红霉素胶囊。

USAN,USP,MI.

随便看

 

离鸟网收录3541549条中英文词条,其功能与新华字典、现代汉语词典、牛津高阶英汉词典等各类中英文词典类似,基本涵盖了全部常用中英文字词句的读音、释义及用法,是语言学习和写作的有利工具。

 

Copyright © 2004-2024 vtrois.com All Rights Reserved
更新时间:2026/4/7 1:41:34