网站首页  词典首页


请输入您要查询的字词:

 

字词 确定型存贮模型Ⅱ
类别 中英文字词句释义及详细解析
释义 确定型存贮模型Ⅱ

均匀进货,不允许缺货的存贮模型。

(1)模型假设条件:

模型Ⅰ条件中,第2条改为非瞬时进货,即边进货边使用,进货速度为P,且P>R。其余条件与模型Ⅰ相同。

(2)库存量随时间变化的图形:

(3)费用模型:

❶ 费用(C)与进货周期(t)关系:

❷ 费用(C)与批量(Q)关系:

式中:N表示一定时期(一般指一年)对某种物资的需求总量;其余含义同模型Ⅰ。

(4)模型最佳量的确定:

❶ 最佳订购(或生产)批量:

❷ 最佳进货周期(或生产间隔周期):

❸ 最低费用

❹ 最佳最高库存量

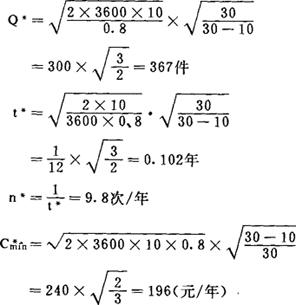
例:设某种物资按确定型模型Ⅱ周转,已知:P=30件/天,R=10件/天,N=3600件/天,其他数据同模型Ⅰ例。则

如果考虑购入成本,则最低总成本为:

随便看

 

离鸟网收录3541549条中英文词条,其功能与新华字典、现代汉语词典、牛津高阶英汉词典等各类中英文词典类似,基本涵盖了全部常用中英文字词句的读音、释义及用法,是语言学习和写作的有利工具。

 

Copyright © 2004-2024 vtrois.com All Rights Reserved
更新时间:2026/4/6 19:06:20