确定型存贮模型Ⅲ
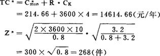
瞬时进货,允许缺货的存贮模型。 (1)模型假设条件: 模型Ⅰ条件中,第1条改为允许缺货,即缺货损失为一有限数。其余条件同模型Ⅰ。 (2)库存量随时间变化的图形:  (3)费用模型  式中C2为单位物资缺货损失费,其余含义同模型Ⅰ。 (4)模型最佳量的确定: ❶ 最佳订购(或生产)批量:  ❷ 最佳进货周期(或生产间隔周期):  ❸ 最低费用  ❹ 最佳最高库存量  例:设某种物资按确定型模型Ⅲ周转,已知,C2=3.2元/年·件,其他数据同模型Ⅰ例。则   如果考虑购入成本,则最低总成本为:  最佳最大缺货量 Z*=Q*-Z* =335-268=67(件) |