确定型存贮模型的灵敏性分析
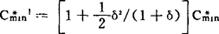
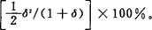
存贮控制模型中的灵敏性分析,就是定性地判断和定量地分析模型中各类参数(在此以确定型模型Ⅰ为分析对象,其他模型可类推)。 这里参数是指模型中的R或N,C1,C3值的变化对经济批量Q*和最佳费用 的影响。 (1)R(或N)以n倍变化,对Q*, 的影响:  式中,Q*′表示参数变化后,修正的经济批量。 下同。  式中, 表示参数变化后,改变了的最低存贮管理费。 下同。 (2)C1以n1倍变化,对Q*、 的影响:  (3)C3以n3倍变化,对Q*、 的影响:  (4)R(或N),C1,C3同时分别以n,C1,C3倍变化,对Q*, 的影响:  (5)最佳批量Q*变化对最佳费用 的影响批量Q*增值百分比为±δ时:  即当Q*的增值百分比为±δ时, 的增长百分比为  (6)最佳费用 变化对最佳批量Q*的影响 费用 增值百分比为r时:  特别,当r很小时: 即当 的增值百分比为r时,Q*的变化百分数为 ×100%(当r很小时)。 〔参〕确定型存贮模型Ⅰ |