网站首页  词典首页


请输入您要查询的字词:

 

字词 确定达到最优质与量的螺槽深度
类别 中英文字词句释义及详细解析
释义 确定达到最优质与量的螺槽深度

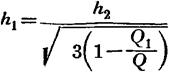
式中:h1=最优螺槽深度(厘米或时)

h2=实际螺槽深度(厘米或时)

Q1=测定的螺杆挤出量(公斤/小时或磅/时)

Q=最大理论螺杆挤出量(公斤/小时或磅/时)

随便看

 

离鸟网收录3541549条中英文词条,其功能与新华字典、现代汉语词典、牛津高阶英汉词典等各类中英文词典类似,基本涵盖了全部常用中英文字词句的读音、释义及用法,是语言学习和写作的有利工具。

 

Copyright © 2004-2024 vtrois.com All Rights Reserved
更新时间:2026/5/25 22:03:49