网站首页  词典首页


请输入您要查询的字词:

 

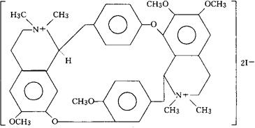
字词 碘二甲箭毒
类别 中英文字词句释义及详细解析
释义 碘二甲箭毒

C40H48I2N2O6=906.64

CAS-7601-55-0

6,6′,7′,12′-四甲氧-2,2,2′,2′-四甲基-筒箭毒碱,二碘化物。

6,6′,7′,12′-Tetramethoxy-2,2,2′,2′-tetramethyl-tubocuraranium,diiodide.

(+)-O,O′-二甲基康得箭毒碱二碘化物。

(+)-O,O′-Dimethylchondrocurarine diiodide.

骨骼肌松弛药。

二甲基碘化筒箭毒。

Metocurine Iodide,Metubine Iodide,Dimethyl Tubocurarine Iodide.

USAN,USP.

随便看

 

离鸟网收录3541549条中英文词条,其功能与新华字典、现代汉语词典、牛津高阶英汉词典等各类中英文词典类似,基本涵盖了全部常用中英文字词句的读音、释义及用法,是语言学习和写作的有利工具。

 

Copyright © 2004-2024 vtrois.com All Rights Reserved
更新时间:2026/4/6 19:52:15