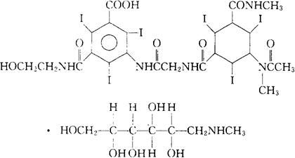
碘克沙葡胺
C24H21I6N5O8·C7H17NO5=1464.10 CAS-59018-13-2 3-[[[[3-(乙酰甲氨基)-2,4,6-三碘-5-[(甲氨基)羰基]苯甲酰基]氨基]乙酰]氨基]-5-[[(2-羟乙基)氨基]羰基]2,4,6-三碘苯甲酸与1-脱氧-1-(甲基氨基)-D-山梨醇(1∶1)的化合物。 3-[[[[3-(Acetylmethylamino)-2,4,6-triiodo-5-[(methylamino)carbonyl]benzoyl]amino]acetyl]amino]-5-[[(2-hydroxyethyl)amino]carbonyl]-2,4,6-triiodobenzoic acid,compound with 1-deoxy-1-(methylamino)-D-glucitol(1∶1). N-(2-羟乙基)-2,4,6-三碘-5-[2-[2,4,6-三碘-3-(N甲基乙酰胺基)-5(甲基氨甲酰基)苯甲酰胺基]乙酰氨基]间苯二甲氨酸与1-去氧-1-(甲氨基)-D-山梨醇(1∶1)的化合物。 N-(2-Hydroxyethyl)-2,4,6-triiodo-5-[2-[2,4,6-triiodo-3-(N-methylacetamido)-5-(methylcarbamoyl)benzamido]acetamido]isophthalamic acid,compoundwith 1-deoxy-1-(methylamino)-D-glucitol(1∶1). 诊断用药(造影药)。 碘克沙酸葡甲胺。 Ioxaglate Meglumine,MP 302,Hexabrix. BAN(Meglumine Ioxaglate),USAN.  |