网站首页  词典首页


请输入您要查询的字词:

 

字词 碘克沙酸钠
类别 中英文字词句释义及详细解析
释义 碘克沙酸钠

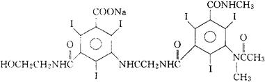
C24H20I6N5NaO8=1290.87

CAS-67992-58-9

3-[[[[3-(乙酰甲氨基)-2,4,6-三碘-5-[(甲氨基)羰基]苯甲酰]氨基]乙酰]氨基]-5-[[2-羟乙基)氨基]羰基]-2,4,6-三碘苯甲酸钠盐。

3-[[[[3-(Acetylmethylamino)-2,4,6-triiodo-5-[(methylamino)carbonyl]benzoyl]amino]acetyl]amino]-5-[[(2-hydroxyethyl)amino]carbonyl]-2,4,6-triiodobenzoic acid,sodium salt.

N-(2-羟乙基)-2,4,6-三碘5-[2-[2,4,6-三碘-3-(N甲基乙酰胺基)-5-(甲氨基甲酰)苯甲酰氨基]乙酰氨基]间苯二甲氨酸钠。

Sodium N-(2-hydroxyethyl)-2,4,6-triiodo-5-[2-[2,4,6-triiodo-3-(N-methylacetamido)-5-(methylcarbamoyl)benzamido]acetamido]isophthalamate.

诊断用药。

Ioxaglate Sodium.

BAN(Sodium Ioxaglate),USAN.

随便看

 

离鸟网收录3541549条中英文词条,其功能与新华字典、现代汉语词典、牛津高阶英汉词典等各类中英文词典类似,基本涵盖了全部常用中英文字词句的读音、释义及用法,是语言学习和写作的有利工具。

 

Copyright © 2004-2024 vtrois.com All Rights Reserved
更新时间:2026/4/6 15:26:47