网站首页  词典首页


请输入您要查询的字词:

 

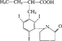
字词 碘利多酸
类别 中英文字词句释义及详细解析
释义 碘利多酸

C15H16I3NO3=639.01

CAS-21766-53-0

α-乙基-2,4,6-三碘-3-(2-氧代-1-吡咯烷基)氢化肉桂酸。

α-Ethyl-2,4,6-triiodo-3-(2-oxo-1-pyrrolidinyl)hydrocinnamic acid.

α-乙基-2,4,6-三碘-3-(2-氧代-1-吡咯烷基)苯丙酸。

α-Ethyl-2,4,6-triiodo-3-(2-oxo-1-pyrrolidinyl)benzenepropanoic acid.

诊断用药。

约里多尼酸。

Iolidonic Acid,B-8560.

INN,USAN.

随便看

 

离鸟网收录3541549条中英文词条,其功能与新华字典、现代汉语词典、牛津高阶英汉词典等各类中英文词典类似,基本涵盖了全部常用中英文字词句的读音、释义及用法,是语言学习和写作的有利工具。

 

Copyright © 2004-2024 vtrois.com All Rights Reserved
更新时间:2026/4/6 19:52:32