网站首页  词典首页


请输入您要查询的字词:

 

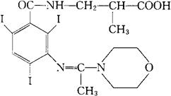
字词 碘吗酸
类别 中英文字词句释义及详细解析
释义 碘吗酸

C17H20I3N3O4=711.08

CAS-51934-76-0

2-甲基-N-[2,4,6-三碘-3-[(1-吗啉乙烯基)氨基]苯甲酰基]-β-丙氨酸。

2-Methyl-N-[2,4,6-triiodo-3-[(1-morpholinoethylidene)amino]benzoyl]-β-alanine.

诊断用药。

Iomorinic Acid,ST 5614.

INN,USAN.

随便看

 

离鸟网收录3541549条中英文词条,其功能与新华字典、现代汉语词典、牛津高阶英汉词典等各类中英文词典类似,基本涵盖了全部常用中英文字词句的读音、释义及用法,是语言学习和写作的有利工具。

 

Copyright © 2004-2024 vtrois.com All Rights Reserved
更新时间:2026/5/25 14:57:42