网站首页  词典首页


请输入您要查询的字词:

 

字词 碘吡拉啥
类别 中英文字词句释义及详细解析
释义 碘吡拉啥

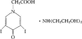
C11H16I2N2O5=510.07

3,5-二碘-4-氧代-1-(4H)-吡啶乙酸与2,2′-亚氨基二乙醇(1∶1)化合物。

3,5-Diiodo-4-oxo-1-(4H)-pyridineacetic acid 2,2′-iminodiethanol(1∶1)compound.

诊断用药。

碘奥酮。

Iodopyracet,Diodrast,Diodonc(INN).

NF,USAN.

随便看

 

离鸟网收录3541549条中英文词条,其功能与新华字典、现代汉语词典、牛津高阶英汉词典等各类中英文词典类似,基本涵盖了全部常用中英文字词句的读音、释义及用法,是语言学习和写作的有利工具。

 

Copyright © 2004-2024 vtrois.com All Rights Reserved
更新时间:2026/4/6 21:03:39