碘喷托
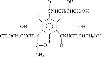
C20H28I3N3O9=835.17 CAS-89797-00-2 5-[乙酰(2-羟-3-甲氧丙基)氨基]-N,N′-双(2,3-二羟丙基)-2,4,6-三碘-1,3-苯二甲酰胺。 5-[Acetyl(2-hydroxy-3-methoxypropyl)amino]N,N′-bis(2,3-dihydroxypropyl)-2,4,6-triiodo-1,3-benzenedicarboxamide. N,N′-双(2,3-二羟丙基)-5-[N-(2-羟-3-甲氧丙基)乙酰胺基]-2,4,6-三碘间苯二甲酰胺。 N,N′-bis(2,3-Dihydroxypropyl)-5-[N-(2-hydroxy3-methoxypropyl)acetamido]-2,4,6-triiodoisophthalamide. 诊断用药(造影药)。 Iopentol,Cpd 5411. INN,BAN,USAN.  |