网站首页  词典首页


请输入您要查询的字词:

 

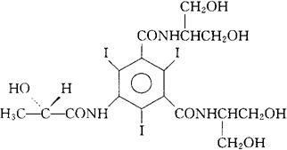
字词 碘帕醇
类别 中英文字词句释义及详细解析
释义 碘帕醇

C17H22I3N3O8=777.09

CAS-60166-93-0

(S)-N,N′-双[2-羟-1-(羟甲基)乙基]-5-[(2-羟-1-氧代丙基)氨基]-2,4,6-三碘-1,3-苯二甲酰胺。

(S)-N,N′-bis[2-Hydroxy-1-(hydroxymethyl)ethyl]-5-[(2-hydroxy-1-oxopropyl)amino]-2,4,6-triiodo-1,3-benzenedicarboxamide.

(S)-N,N′-双[2-羟-1-(羟甲基)乙基]-2,4,6-三碘-5-乳酰胺基间苯二甲酰胺。

(S)-N,N′-bis[2-Hydroxy-1-(hydroxymethyl)ethyl]-2,4,6-triiodo-5-lactamidoisophthalamide.

诊断用药(造影药)。

Iopamidol,SQ 13,396,Iomapidol,Iopamiro,Isovue,Niopam,Solutrast,B 15000.

INN,BAN,USAN,USP.

随便看

 

离鸟网收录3541549条中英文词条,其功能与新华字典、现代汉语词典、牛津高阶英汉词典等各类中英文词典类似,基本涵盖了全部常用中英文字词句的读音、释义及用法,是语言学习和写作的有利工具。

 

Copyright © 2004-2024 vtrois.com All Rights Reserved
更新时间:2026/4/7 0:18:12