网站首页  词典首页


请输入您要查询的字词:

 

字词 碘扎溴酸
类别 中英文字词句释义及详细解析
释义 碘扎溴酸

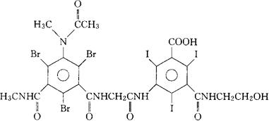
C24H21Br3I3N5O8=1127.88

CAS-96191-65-0

N-(2-羟乙基)-2,4,6-三碘-5-[2-[2,4,6-三溴-3-(N甲基乙酰胺基)-5-(甲基氨甲酰基)苯甲酰胺基]乙酰胺基]-间苯二甲氨酸。

N-(2-Hydroxyethyl)-2,4,6-triiodo-5-[2-[2,4,6-tribromo-3-(N-methylacetamido)-5-(methylcarbamoyl)benzamido]acetamido]isophthalamic acid.

诊断用药。

Ioxabrolic.acid.

INN,USAN.

随便看

 

离鸟网收录3541549条中英文词条,其功能与新华字典、现代汉语词典、牛津高阶英汉词典等各类中英文词典类似,基本涵盖了全部常用中英文字词句的读音、释义及用法,是语言学习和写作的有利工具。

 

Copyright © 2004-2024 vtrois.com All Rights Reserved
更新时间:2026/4/8 1:01:06