碘昔兰
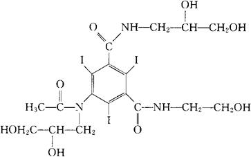
C18H24I3N3O8=791.12 CAS-107793-72-6 5-[乙酰(2,3-二羟丙基)氨基]-N-(2,3-二羟丙基)-N′(2羟乙基)2,4,6-三碘-1,3-苯二甲酰胺。 5-[Acetyl(2,3-dihydroxypropyl)amino]-N-(2,3-dihydroxypropyl)-N′-(2-hydroxyethyl)-2,4,6-triiodo-1,3-benzenedicarboxamide. N-(2,3-二羟丙基)-5-[N-(2,3-二羟丙基)乙酰胺基]N′-(2-羟乙基)-2,4,6-三碘间苯二甲酰胺。 N-(2,3-Dihydroxypropyl)-5-[N-(2,3-dihydroxypropyl)acetamido]-N′(2-hydroxyethyl)-2,4,6-triiodoisophthalamide. 造影药。 loxilan,Foam. INN,USAN.  |