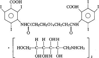
碘沙葡胺
C26H26I6N2O10·2C7H17NO5=1678.36 CAS,51764-33-1 CAS-31127-82-9(iodoxamic acid) CAS-6284-40-8(meglumine) 3,3′-[(1,16-二氧代-4,7,10,13-四噁十六烷-1,16-二基)二亚氨基]双[2,4,6-三碘苯甲酸]与1-去氧-1-(甲氨基)-D-山梨醇(1∶2)的化合物。 3,3′-[(1,16-Dioxo-4,7,10,13-tetraoxahexadecane1,16-diyl)diimino]bis[2,4,6-triiodobenzoic acid,compound with 1-deoxy-1-(methylamino)-D-glucitol(1∶2). 3,3′-[乙烯双(氧乙烯氧乙烯羰基亚氨基)]双[2,4,6-三碘苯甲酸]与1-去氧-1-(甲氨基)-D-山梨醇(1∶2)的化合物。 3,3′-[Ethylenebis(oxyethyleneoxyethylenecarbonylimino)]bis[2,4,6-triiodobenzoic acid]compound with 1-deoxy-1-(methylamino)-D-glucitol(1∶2). 诊断用药。 碘沙酸葡胺。 Iodoxamate Meglumine,Cholovue. BAN,USAN. 
|