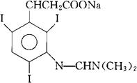
碘泊酸钠
C12H12I3N2NaO2=619.94 CAS-1221-56-3 CAS-5587-89-3(ipodic acid) 3-[[(二甲氨基)亚甲基]氨基]-2,4,6-三碘-苯丙酸钠。 3-[[(Dimethylamino)methylene]amino]-2,4,6-triiodo-benzenepropanoic acid,sodium salt. 3-[[(二甲氨基)亚甲基]氨基]-2,4,6-三碘氢肉桂酸。 Sodium 3-[[(dimethylamino)methylene]amino]-2,4,6-triiodohydrocinnamate. 诊断用药。 胺碘苯丙酸钠,胆影脒钠。 Ipodate Sodium,NSC-106962,Biloptin,Oragrafin Sodium,Bilivist. INN & BAN(Sodium Ipodate),USAN,(Ipodate Sodium),USP. 
|