碘美普尔
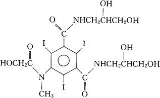
C17H22I3N3O8=777.09 CAS-78649-41-9 N,N-双(2,3-二羟丙基)-5-[(羟乙酰)甲氨基]-2,4,6-三碘-1,3-苯二甲酰胺。 N,N′-bis(2,3-Dihydroxypropyl)-5-[(hydroxyacetyl)methylamino]-2,4,6-triodo-1,3-benzenedicarboxamide. N,N′-双(2,3-二羟丙基)-2,4,6-三碘-5-(N-甲基羟乙酰胺基)间苯二甲酰胺。 N,N′-bis(2,3-Dihydroxypropyl)-2,4,6-triiodo-5-(N-methylglycolamido)isophthalamide. 5-(N-甲基羟乙酰氨基)-2,4,6-三碘间苯二酸双-2,3-二羟丙酰胺。 5-(N-Methylhydroxyacetylamino)-2,4,6-triiodoisophthalic acid bis-2,3-dihydroxypropylamide. 诊断用药(造影药)。 Iomeprol. INN,BAN,USAN.  |