网站首页  词典首页


请输入您要查询的字词:

 

字词 碘西法酸
类别 中英文字词句释义及详细解析
释义 碘西法酸

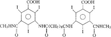
C28H28I6N4O8=1309.98

CAS-5591-33-3

3,3′-[(1,10-二氧-1,10-癸二基)二亚氨基]双[2,4,6-三碘-5-(甲氨基)羰基]苯甲酸。

3,3′-[(1,10-Dioxo-1,10-decanediyl)diimino]bis[2,4,6-triiodo-5-(methylamino)carbonyl]benzoic acid.

5,5′-(癸二酰二亚氨基)双[2,4,6-三碘-N-甲基间苯二甲氨酸]。

5,5′-(Sebacoyldiimino)bis[2,4,6-triiodo-Nmethylisophthalamic acid].

诊断用药。

Iosefamic Acid,MP 271.

INN.USAN.

随便看

 

离鸟网收录3541549条中英文词条,其功能与新华字典、现代汉语词典、牛津高阶英汉词典等各类中英文词典类似,基本涵盖了全部常用中英文字词句的读音、释义及用法,是语言学习和写作的有利工具。

 

Copyright © 2004-2024 vtrois.com All Rights Reserved
更新时间:2026/5/25 9:41:53