网站首页  词典首页


请输入您要查询的字词:

 

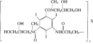
字词 碘酞硫
类别 中英文字词句释义及详细解析
释义 碘酞硫

C38H50I6N6O14S=1608.33

CAS-71767-13-o

5,5′-[硫双(亚乙基羰基亚胺基)]双[N,N′-双(2,3-二羟丙基)-2,4,6-三碘-N,N′-二甲基间苯二甲酰胺]。

5,5′[Thiobis(ethylenecarbonylimino)]bis[N,N′-bis(2,3-dihydroxypropyl)-2,4,6-triiodo-N,N′-dimethylisophthalamide].

造影药。

Iotasul.

碘太舒。

INN,USAN.

随便看

 

离鸟网收录3541549条中英文词条,其功能与新华字典、现代汉语词典、牛津高阶英汉词典等各类中英文词典类似,基本涵盖了全部常用中英文字词句的读音、释义及用法,是语言学习和写作的有利工具。

 

Copyright © 2004-2024 vtrois.com All Rights Reserved
更新时间:2026/4/6 14:53:21