网站首页  词典首页


请输入您要查询的字词:

 

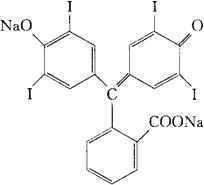
字词 碘酞钠
类别 中英文字词句释义及详细解析
释义 碘酞钠

C20H8I4Na2O4=865.88

CAS-632-73-5

CAS-386-17 4(iodophthalein)

四碘酚酞二钠盐。

Disodium salt of tetraiodophenolphthalein.

诊断用药。

Iodophthalein Sodium,Tetiothalein, Iodophthalein Soluble.

INN,NF,USAN,MI.

随便看

 

离鸟网收录3541549条中英文词条,其功能与新华字典、现代汉语词典、牛津高阶英汉词典等各类中英文词典类似,基本涵盖了全部常用中英文字词句的读音、释义及用法,是语言学习和写作的有利工具。

 

Copyright © 2004-2024 vtrois.com All Rights Reserved
更新时间:2026/4/6 16:25:18