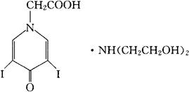
碘[125I]吡拉啥
C11H16125I2N2O5 3,5-二(碘125I)-4-氧代-1-(4H)-吡啶乙酸与2,2′-亚氨基双[乙醇](1∶1)的化合物。 3,5-Di(iodo-125I)-4-oxo-1-(4H)-pyridineacetic acid,compd.with 2,2′-iminobis[ethanol](1∶1). 3,5-二碘125I-4-氧-1-(4H)吡啶乙酸与2,2′-亚氨基二乙醇(1∶1)的化合物。 3,5-Diiodo-125I-4-oxo-1-(4H)pyridineacetic acid,compound with 2,2′-iminodiethanol(1∶1). 诊断用药。 碘奥酮I 125。 Iodopyracet I 125. USAN.  |