碘[131I]吡拉啥
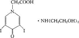
C11H16131I2N2O5 3,5-二(碘131I)-4-氧-1-(4H)-吡啶乙酸与2,2′-亚氨基双[乙醇](1∶1)的化合物。 3,5-Di(iodo-131I)-4-oxo-1(4H)-pyridineacetic acid,compd.with 2,2′-iminobis[ethanol](1∶1). 3,5-二碘-131I-4-氧代-1(4H)-吡啶乙酸与2,2′-亚氨基双[乙醇](1∶1)的化合物。 3,5-Diiodo-131I-4-oxo-1(4H)-pyridineacetic acid,compound with 2,2′-iminodiethanol(1∶1). 诊断用药。 碘奥酮I 131。 Iodopyracet I 131 USAN.  |