网站首页  词典首页


请输入您要查询的字词:

 

字词 碱回收炉能量平衡及计算方法
类别 中英文字词句释义及详细解析
释义 碱回收炉能量平衡及计算方法

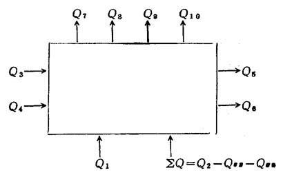
1.能量平衡图

图中符号意义:

Q1——补充燃料供入热量,kJ/h;

Q2——黑液固形物供入热量,kJ/h;

Qsx——黑液中水分蒸发吸热量,kJ/h;

Qxk——芒硝还原反应吸收热量,kJ/h;

Q3——锅炉给水带入热量,kJ/h;

Q4——燃烧用空气带入热量,kJ/h;

Q5——锅炉产汽量折合热量,kJ/h;

Q6——熔融物带出热量,kJ/h;

Q7——排烟带走热量,kJ/h;

Q8——炉体散热损失热量,kJ/h;

Q9——未完全燃烧损失热量,kJ/h;

Q10——其他热损失,kJ/h。

2.能量平衡及设备热效率计算

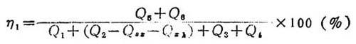
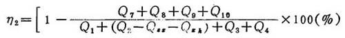
(1)补充燃料供入热量Q1

式中:Bb——补充燃料消耗量,kg/h;

——燃料应用基低位发热量,kJ/h;

Cb——燃料比热容(重油Cb=0.45),kJ/(kg·℃);

tb——燃料入炉燃烧前的温度,℃;

t——环境温度,℃。

(2)黑液固形物供入热量Q2

式中:Bg——黑液固形物量,kg/h;

——黑液固形物应用低位发热量,kJ/kg;

Cg——黑液固形物比热容(木浆碱回收Cg=2.01),kJ/(kg·℃);

ty——黑液固形物入炉前的温度,℃;

t——环境温度,℃。

(3)黑液中水分蒸发等吸收热量Qsx

Qsx=W〔Csx(100—t1)+r+Ccki(thi-100)〕(kJ/h)

式中:W——黑液中水分量,kg/h;

Cxs——水的比热容,kJ/(kg·℃);

Cekh——过热蒸汽比热容(Cchi=1.93),kJ/(kg·℃);

r——水的汽化潜热(r=2256.69),kJ/kg;

tpy——排烟温度,℃;

t1——环境温度,℃。

(4)芒硝还原反应吸收热量Qxk

Qhk=6970mBm(kJ/h)

式中:6970——每公斤芒硝还原反应的吸热量为6970kJ;

m——芒硝还原率,%;

Bm——补充芒硝量,kg/h

(5)锅炉给水带入热量Q3

Q3=WgsCgs(tgs—t)(kJ/h)

式中:Wgs——锅炉给水量,kg/h;

Cgs——给水比热容(Cgs=4.187),kJ/(kg·℃);

tgs——给水温度,℃;

t——环境温度,℃。

(6)燃烧用空气带入热量Q4

Q4=VgCg(tg—t)(kJ/h)

式中:VK——燃烧用空气量,m3/h;

CK——空气平均比热容(CK=1.3)kJ/(m3·℃);

tK——入炉时空气温度,℃;

t——环境温度,℃。

(7)锅炉产汽量折合热量Q5

Q5=D0(i0—i)(kJ/h)

式中:D0——锅炉产汽量,kJ/h;

i0——锅炉产汽焓,kJ/kg;

i'——环境温度下水的焓,kJ/kg。

(8)熔融物带出热量Q6

Q6=1238Grw(kJ/h)

式中:1238——1公斤熔融物在850℃时熔化热为1238kJ;

Grw——熔融物量,kg/h。

(9)排烟带走热量Q7

Q7=VpyCpy(tpy—t)—Qsx(kJ/h)

式中:Vpy——烟气排烟量,m3/h;

Cpy——烟气比热容(Cpy=1.42),kJ/标m3·℃;

tpy——排烟温度,℃;

t——环境温度,℃;

Csx——黑液中水分蒸发等吸收热量,kJ/h。

(10)炉体散热损失Q8

Q8=FK(t2—t)(kJ/h)

式中:F——炉体散热而积,m2

K——传热系数,kJ/(m2·h·℃);

t2——炉体保温层外表面平均温度,℃;

t——环境温度,℃。

(11)未完全燃烧热损失Q9

Q9根据具体情况,可参照发电锅炉进行测试计算。

(12)其他热损失(Q10)

3.正平衡热效率(η1)计算

4.反平衡热效率(η2)计算

随便看

 

离鸟网收录3541549条中英文词条,其功能与新华字典、现代汉语词典、牛津高阶英汉词典等各类中英文词典类似,基本涵盖了全部常用中英文字词句的读音、释义及用法,是语言学习和写作的有利工具。

 

Copyright © 2004-2024 vtrois.com All Rights Reserved
更新时间:2026/5/25 14:48:28