网站首页  词典首页


请输入您要查询的字词:

 

字词 碱回收蒸发装置能量平衡及计算方法
类别 中英文字词句释义及详细解析
释义 碱回收蒸发装置能量平衡及计算方法

1.能量平衡方框图

图中符号意义:

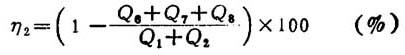
Q1——新蒸汽供入热量,kJ/h;

Q2——稀黑液带入热量,kJ/h;

Q3——浓黑液带出热量,kJ/h;

O4——新蒸汽凝结水带出热量,kJ/h;

Q5——未效二次蒸汽带出热量,kJ/h;

Q6——混合污冷凝水带走热量,kJ/h;

Q7——设备散热损失,kJ/h;

Q8——不凝气及其他损失,kJ/h。

2.能量平衡及设备热效率计算

(1)新蒸汽供入热量Q1

Q1—D0(i0-i1)(kJ/h)

式中:p0——新蒸汽耗量,kg/h

i0——新蒸汽焓,kJ/kg;

i1——环境温度下水的焓,kJ/kg。

(2)稀黑液带入热量Q2

Q2=GxyCxy(txy-t)(kJ/h)

式中:Gxy——进效稀黑液总量,kg/h;

Cxy——进效稀黑液比热容,kJ/(kg·℃);

txy——进效稀黑液温度,℃;

t——环境温度,℃。

(3)浓黑液带出热量(Q3):

Q3=GnyCny(tny-t)(kJ/h)

式中:Gny——出效浓黑液量,kg/h:

Cn)——出效浓黑液比热容,kcal/(kg·℃);

tyy——出效浓黑液温度,℃;

t——环境温度,℃。

(4)新蒸汽凝结水带出热量(Q4):

Q4Dns(ind-i)(kJ/h)

式中:β——新蒸汽凝结水回收率,%;

Dnd——新蒸汽凝结水量,kg/h;

ind——新蒸汽凝结水的焓,kJ/kg;

i′——环境温度下水的焓,kJ/kg。

(5)末效二次蒸汽带出热量Q5

Q5=Dey(iey—i)(kJ/h)

式中:Dey——末效排出的二次蒸汽量,kg/h;

iey——末效排出的二次蒸汽焓,kJ/kg;

i'——环境温度下水的焓,kJ/kg。

(6)混合污冷凝水带出热量Q6

式中:Wws——混合污冷凝水量,kg/h;

iws——混合污冷凝水的焓,kJ/kg;

i'——环境温度下水的焓,kJ/kg。

(7)设备散热损失Q7

Q7Q=FK(t2—t)(kJ/h)

式中:F——每一效表面散热面积,m2

K——传热系数,kJ/(m2·℃·h);

t2——每一效保温层外表平均温度,℃;

t——环境温度,℃。

(8)不凝汽及其他热损失Q8

(9)正平衡计算热效率η1

(10)反平衡计算热效率(η2)

附:多效蒸发装置指标计算:

式中:Q有效——总蒸发水量吸收热量,kJ/h;

Q1——新蒸汽供入热量,kJ/h。

随便看

 

离鸟网收录3541549条中英文词条,其功能与新华字典、现代汉语词典、牛津高阶英汉词典等各类中英文词典类似,基本涵盖了全部常用中英文字词句的读音、释义及用法,是语言学习和写作的有利工具。

 

Copyright © 2004-2024 vtrois.com All Rights Reserved
更新时间:2026/4/6 14:54:38