网站首页  词典首页


请输入您要查询的字词:

 

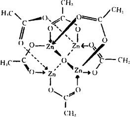
字词 碱式醋酸锌
类别 中英文字词句释义及详细解析
释义 碱式醋酸锌

C12H18O13Zn4=631.79

CAS-82279-57-0

六(μ-醋酸根)-μ4-氧代四锌。

Hexakis(μ-acetato)-μ4-oxotetrazinc.

抗病毒药。

Zinc Acetate Basic.

INN,USAN.

随便看

 

离鸟网收录3541549条中英文词条,其功能与新华字典、现代汉语词典、牛津高阶英汉词典等各类中英文词典类似,基本涵盖了全部常用中英文字词句的读音、释义及用法,是语言学习和写作的有利工具。

 

Copyright © 2004-2024 vtrois.com All Rights Reserved
更新时间:2026/4/7 0:49:35