网站首页  词典首页


请输入您要查询的字词:

 

字词 碱法蒸煮锅热量衡算及实例
类别 中英文字词句释义及详细解析
释义 碱法蒸煮锅热量衡算及实例

[说明]现以容积为110m3蒸锅,蒸煮半漂硫酸盐木浆为例,对其蒸煮热量衡算的步骤和方法加以说明。与计算有关的数据及已知条件见表4-1-24。

表4-1-24110m3硫酸盐木浆蒸煮锅热量衡算已知数据

1.加热原料中纤维升到最高温度所需热量Q1

2.加热原料中水分到最高温度所需热量Q2

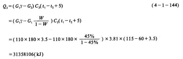
3.加热药液所需热量Q3

4.加热设备及附件所需热量Q4

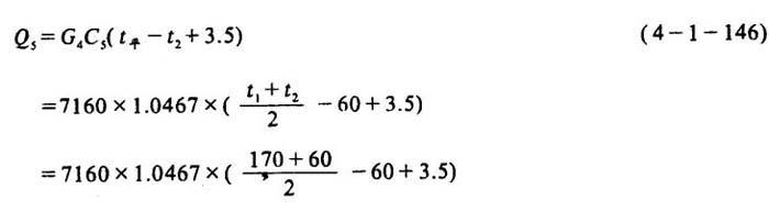
5.加热保温层所需热量Q5

6.升温时损失的热量Q6

❷ 送液完毕升温开始时锅内物料所含热量q2

❸ 锅内物料加热升温1℃所需热量q1

❹ 开始升温时锅内物料的混合温度t

❺ 整个蒸煮过程锅内物料的平均温度T

❻ 求升温时损失的热量Q6

7.保温时损失的热量Q7

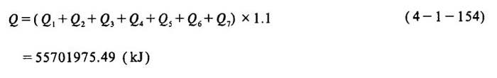
8.蒸煮一锅浆所需总热量Q

9.每锅次蒸汽用量D的计算

[已知]饱和蒸汽压力P=1078kPa

蒸汽汽化潜热R=2007.57kJ/kg

加热器效率η=90%

10.蒸煮每吨风干浆耗汽量D′

11.蒸煮锅小放汽和放锅的热回收计算

[说明]在蒸煮时一般要进行小放汽,而在使用喷放锅喷放时,也要闪蒸出大量蒸汽,如果将这些蒸汽排入大气,不但污染环境,而且造成浪费,因此需进行回收。

❶ 小放汽热回收计算

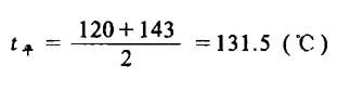
[说明]设每锅小放汽两次,两次温度分别为120℃和143℃,两次压力分别由196.2kPa降至0kPa和由392.2kPa降至196.2kPa。

a.小放汽的平均温度t

b.每吨风干浆放出蒸汽量D′

[说明]设1吨干木片在小放汽时放出90kg蒸汽,若粗浆得率为46%。

c.小放汽放出的热量Q′

[说明]若将小放汽放出的蒸汽用换热器由131.5℃冷却到60℃,131.5℃时蒸汽的比能为2726.07kJ/kg,则:

d.加热水量W′

[说明]设冷却水由15℃加热到75℃,则加热水量为:

❷ 放锅时大放汽的热量回收计算

[说明]设生产每吨风干浆在全压喷放时闪蒸的蒸汽量为952kg,喷放用蒸汽70kg。则生产每吨风干浆放出的蒸汽量为:

设蒸煮最高温度为170℃,若将闪出蒸汽在喷射冷凝器内由170℃冷却至90℃,170℃时蒸汽的比能为2773.34kJ/kg,喷射液初温为40℃,则需喷射液量为:

若将喷射冷凝液用换热器由90℃冷却至40℃,而冷却水由150℃升至80C,则需冷却水量为:

随便看

 

离鸟网收录3541549条中英文词条,其功能与新华字典、现代汉语词典、牛津高阶英汉词典等各类中英文词典类似,基本涵盖了全部常用中英文字词句的读音、释义及用法,是语言学习和写作的有利工具。

 

Copyright © 2004-2024 vtrois.com All Rights Reserved
更新时间:2026/4/7 5:04:07