碱液输送系统泵的计算实例
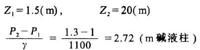
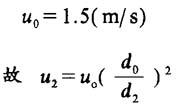
[例]如图2-5-43为一碱液输送系统。泵的进口管为Φ108×4.5mm钢管,碱液在进口管中的流速为1.5m/s;出口管为Φ76×2.5mm钢管;贮液池中碱液深度为1.5m,池底至大贮罐的垂直距离为20m,碱液流经管路系统的摩擦损失为3m碱液柱;喷出口的压力为0.3atm(表压),碱液重度为1100(kg/m3),泵的效率为60%,求此泵的扬程及所需功率。 解: ❶ 计算扬程 以0-0′为基准面,列I-I 和Ⅱ-Ⅱ 两端面间的柏努利方程式求扬程。由题意知:  因贮槽面积较出口管截面积大得多,故视液面近似不变,故u1=0  根据上例计算知:  ❷ 计算功率 碱液的重量流量为:  泵提升碱液需要的有效功率为:  泵的轴功率:  |