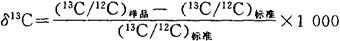
碳同位素比值
碳的不同同位素的相对丰度。 海洋中碳的同位素有三种:12C、13C和14C。通常进行12C和13C的比值δ13C的分析。 它能反映不同同位素进行化学反应和生物学反应的速率,说明过程中形成的事件。 13C的同位素比值为:  碳的12C和13C同位素在大气和海洋中的丰度不同,造成这种差别的主要平衡式是 13CO2(气)十H12CO3-(水) 12CO2(气)+H13CO3-(水) 由此造成13C在海洋碳酸氢盐中的富集,它此大气二氧化碳约多含7×10-3。 放射性碳的分析可以测得DOC的“表现年龄”。另一方面,14C分析值可能为海水中过程的时间标度提供可靠的信息。 尤其令人感兴趣的是,它可提供核试验方面的资料。 |