网站首页  词典首页


请输入您要查询的字词:

 

字词 磁通量
类别 中英文字词句释义及详细解析
释义 磁通量

1.匀强磁场的磁感强度为B,垂直于B有一平面的面积为S,则穿过这个面积的磁通量Φ定义为磁感应强度B与面积S的乘积.也可利用磁感线形象地说明磁通量,磁感线密的地方,磁通量就大,磁感线疏的地方,磁通量就小,因此我们也可以把穿过磁场中某一面积的磁感线的条数定义为穿过这个面的磁通量.同一个平面,当它跟磁场方向垂直时,穿过它的磁感线条数就多,磁通量就大;当它跟磁场方向有一小于90°的夹角时,穿过它的磁感线的条数就少,磁通量就小,从这个意义上说,磁感强度B的大小可以写成B=Φ/S,即磁感应强度是单位面积的磁通,故称之为磁通密度.

在国际单位制中,磁通量单位是韦伯,简称韦,符号是Wb.

2.磁通量的计算:

若平面跟磁场方向不垂直,可作出垂直磁场方向上的投影平面,设投影面积为S,则穿过平面的磁通量

Φ=B·S

(1)当平面和磁场垂直时,S=S,则Φ=B·S.

(2)当平面和磁场平行时,S=0,则Φ=B·S=0.

(3)如果平面跟磁场方向的夹角为θ,则穿过该面的磁通量Φ=BS1=BSsinθ.

注意 在记忆磁通量公式时应牢记Φ=BS,而不能盲目套用Φ=BScosα或Φ=BSsinθ,用cosα还是sinθ,要看α或θ的具体意义.

3.磁通量的变化△Φ=Φ2—Φ1,其数值等于初末态穿过某个平面磁通量的差值.

4.对磁通量的理解

(1)磁通量是标量,不是矢量,但有正负之分,如果穿过某面的磁通量是Φ,将该面转动180°,穿过该面的磁通量是—Φ;(2)磁通量是对某一特定的“面”而言的,是“面”的特征量,而非磁场的特征量,没有特定的面,就无所谓磁通;(3)要注意“面”的含义,它是指处于磁场中的“面”,如上图所示,匀强磁场穿过面1和面2的磁感线条数相等,因此穿过1面和2面的磁通量相等.

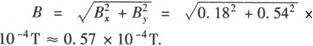
例 某地地磁场感应强度B的水平分量Bx=0.18×10—4T,竖直分量By=0.54×10—4T.求:

(1)地磁场B的大小及它与水平方向的夹角;

(2)在水平面内2.0m2的面积内地磁场的磁通量Φ.

分析 磁感应强度B是矢量,计算时应遵循矢量运算法则;而磁通量是标量,当B与S不垂直时,磁通量Φ=BScosθ,其中θ表示平面S的法线方向与磁感线的夹角,即将B沿平面S和与S垂直方向分解,取其垂直分量.

解 (1)根据平行四边形法则

B与水平方向的夹角(即磁倾角)

(2)题中地磁场与水平面积不垂直,取其与水平面垂直的B,分量,故磁通量为

Φ=By·S=0.54×10—4×2.0Wb=1.1×10—4Wb.

随便看

 

离鸟网收录3541549条中英文词条,其功能与新华字典、现代汉语词典、牛津高阶英汉词典等各类中英文词典类似,基本涵盖了全部常用中英文字词句的读音、释义及用法,是语言学习和写作的有利工具。

 

Copyright © 2004-2024 vtrois.com All Rights Reserved
更新时间:2026/4/6 20:42:33