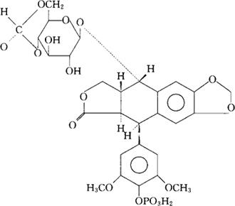
磷酸依托苷
C29H33O16P=668.55 [5R-[5α,5αβ,8aα,9β(R*)]]-5-[3,5-二甲氧-4-(膦酰基氧)-苯基]-9-[(4,6-O-亚乙基-β-D-吡喃葡糖基)氧]-5,8,8a,9-四氢-糠基[3′,4∶′6,7]萘并[2,3-d]-1,3-二氧代-6(5aH)-酮。 [5R-[5α,5aβ,8aα,93(R*)]]-5-[3,5-Dimethoxy-4-(phosphonooxy)-phenyl]-9-[(4,6-O-ethylidene-β-D-glucopyranosyl)oxy]-5,8,-8a,9-tetrahydro-furo[3′,4′∶6,7]naphtho[2,3-d]-1,3-dioxo-6(5aH)-one. 4′-去甲基表鬼臼毒素[9-[4,6-O-(R)-亚乙基-β-D吡喃葡糖甙],4′-(二氢磷酸盐)。 4′-Demethylepipodophyllotoxn[9-[4,6-O-(R)-ethylidene-β-D-glucopyranoside],4′-(dihydrogen phosphate)]. 抗肿瘤药。 依托泊甙。 Etoposide Phosphate,BNY 40481. USAN.  |