网站首页  词典首页


请输入您要查询的字词:

 

字词 磷酸克林霉素
类别 中英文字词句释义及详细解析
释义 磷酸克林霉素

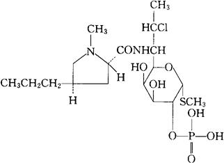
C18H34C1N2O8PS=504.96

CAS-24729-96-2

CAS-18323-44-9(clindamycin)

(2S-反式)-甲基7-氯-6,7,8-三脱氧-6-[[(1-甲基-4-丙基-2-吡咯烷基)羰基]氨基]-1-硫代-L-苏-α-D-辛吡喃半乳糖甙2-(二氢磷酸酯)。

Methyl 7-chloro-6,7,8-trideoxy-6-[[(1-methyl-4-propyl-2-pyrrolidinyl)carbonyl]amino]-1-thio-Lthreo-α-D-galactooctopyranoside,2-(dihydrogen phosphate),(2S-trans).

甲基7-氯-6,7,8-三脱氧-6-(1-甲基-反式-4-丙基-2-吡咯烷甲酰胺基)-1-硫代-L-苏-α-D-辛吡喃半乳糖甙-2-(二氢磷酸酯)。

Methyl 7-choro-6,7,8-trideoxy-6-(1-methyl-trans4-propyl-L-2-pyrrolidinecarboxamido)-1-thio-Lthreo-α-D-galacto-octopyranoside 2-(dihydrogen phosphate).

7(S)-氯-7-脱氧林可霉素2-磷酸酯。

7(S)-Chloro-7-deoxylincomycin 2-phosphate.

抗生素类药。

磷酸氯洁霉素,磷酸氯林可霉素,氯林可霉素磷酸酯。

Clindamycin Phosphate,U-28,508,Cleocin Phosphate,Cleocin T.

USAN,USP.

随便看

 

离鸟网收录3541549条中英文词条,其功能与新华字典、现代汉语词典、牛津高阶英汉词典等各类中英文词典类似,基本涵盖了全部常用中英文字词句的读音、释义及用法,是语言学习和写作的有利工具。

 

Copyright © 2004-2024 vtrois.com All Rights Reserved
更新时间:2026/5/25 14:08:19