磷酸可待因[典]
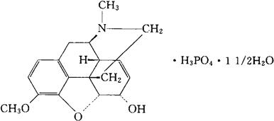
C18H21NO3·H3PO4·1 1/2H2O=424.39 CAS-41444-62-6 甲基吗啡的磷酸盐(1∶1)一又二分之一水化合物。 Methylmorphine phosphate(1∶1)sesquihydrate. 7,8-二去氢-4,5α-环氧-3-甲氧基-17-甲基吗啡喃-6α-醇磷酸盐(1∶1)一又二分之一水化合物。 7,8-Didehydro-4,5α-epoxy-3-methoxy-17-methylmorphinan-6α-ol phosphate(1∶1)(salt)sesquihydrate. 镇痛药和镇咳药。用于剧烈干咳及中等度疼痛。 Codeine Phosphate. 磷酸可待因片(锭)(台),可待因糖浆(磷酸可待因糖浆),磷酸可待因注射液(可待因注射液)(台)。 BP,IP,USAN,USP,MI.  |