网站首页  词典首页


请输入您要查询的字词:

 

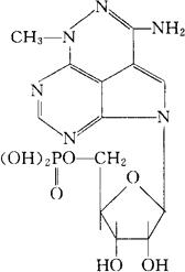
字词 磷酸曲西立滨
类别 中英文字词句释义及详细解析
释义 磷酸曲西立滨

C13H17N6O7P=400.29

CAS-61966-08-3

1,5-二氢-5-甲基-1-(5-O-膦酰基-β-D-呋喃核糖基)-1,4,5,6,8-五氮杂苊-3-胺。

1,5-Dihydro-5-methyl-1-(5-O-phosphono-β-D-ribofuranosyl)-1,4,5,6,8-pentaazaacenaphthylen-3-amlne.

3-氨基-1,5-二氢-5-甲基-1-β-D-呋喃核糖基-1,4,5,6,8-五氮杂苊5′-磷酸二氢酯。

3-Amino-1,5-dihydro-5-methyl-1-β-D-ribofuranosyl-1,4,5,6,8-pentaazaacenaphthylene 5′-dihydrogen phosphate.

抗肿瘤药。

Triciriline Phosphate,NSC-280594,Phosphate Salt of Tricyclic Nucleoside.

INN(Triciribibe),USAN.

随便看

 

离鸟网收录3541549条中英文词条,其功能与新华字典、现代汉语词典、牛津高阶英汉词典等各类中英文词典类似,基本涵盖了全部常用中英文字词句的读音、释义及用法,是语言学习和写作的有利工具。

 

Copyright © 2004-2024 vtrois.com All Rights Reserved
更新时间:2026/4/7 1:42:39