磷酸竹桃霉素
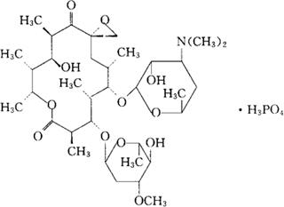
C35H61NO12·H3PO4=785.87 磷酸竹桃霉素(1∶1)。 Oleandomycin phosphate(1∶1). 3-(2,6-二去氧-3-O-甲基-α-L-阿拉伯-己吡喃糖基-氧-8,8-环氧-亚甲基-11-羟-2,4.6,10,12-五甲基-9-氧代-5-(3,4,6-三去氧-3-二甲氨基β-D-木-吡喃己糖基氧)十四烷-13-交酯磷酸盐。 3-(2,6-Dideoxy-3-O-methyl-α-L-arabino-hexopyranosyl-oxy)-8,8-epoxymethano-11-hydroxy-2,4,6,10,12-pentamethyl-9-oxo-5-(3,4,6-trideoxy-3-dimethylamino-β-D-xylo-hexopyranosyloxy)tetradecan13-olide phosphate. 抗生素类药。 Oleandomycin Phosphate,Matromycin. INN & BAN(Oleandomycin),NF,USAN.  |