网站首页  词典首页


请输入您要查询的字词:

 

字词 磷酸羟基哌喹[中]
类别 中英文字词句释义及详细解析
释义 磷酸羟基哌喹[中]

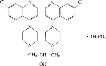
C29H32Cl2N6O·4H3PO4=943.0

1,3-双[4-(7-氯-喹啉基-4)哌嗪-1]丙醇-2-四磷酸盐。

1,3-bis[4-(7-Chloro-quinolyl-4)piperazine-1]propanol-2-tetraphosphate.

疟疾及硅肺治疗药。

Hydroxypiperaquine Phosphate.

磷酸羟基哌喹片。

随便看

 

离鸟网收录3541549条中英文词条,其功能与新华字典、现代汉语词典、牛津高阶英汉词典等各类中英文词典类似,基本涵盖了全部常用中英文字词句的读音、释义及用法,是语言学习和写作的有利工具。

 

Copyright © 2004-2024 vtrois.com All Rights Reserved
更新时间:2026/5/27 21:32:22