网站首页  词典首页


请输入您要查询的字词:

 

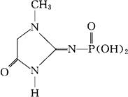
字词 磷酸肌酐
类别 中英文字词句释义及详细解析
释义 磷酸肌酐

C4H8N3O4P=193.10

CAS-5786-71-0

(1-甲基-4-氧代-2-咪唑烷亚基)氨基磷酸。

(1-Methyl-4-oxo-2-imidazolidinylidene)phosphoramidic acid.

(4,5-二氢-1-甲基-4-氧代-1H-咪唑-2-基)氨基磷酸。

(4,5-Dihydro-1-methyl-4-oxo-1H-imidazol-2-yl)-phosphoramidic acid.

心肌病辅助药,强壮药。

Fosfocreatinine

INN,USAN.

随便看

 

离鸟网收录3541549条中英文词条,其功能与新华字典、现代汉语词典、牛津高阶英汉词典等各类中英文词典类似,基本涵盖了全部常用中英文字词句的读音、释义及用法,是语言学习和写作的有利工具。

 

Copyright © 2004-2024 vtrois.com All Rights Reserved
更新时间:2026/4/6 19:30:18