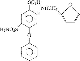
磺塞米
C17H16N2O7S2=424.44 CAS-82666-62-4 2-(糠氨基)-4-苯氧-5-氨磺酰苯磺酸。 2-(Furfurylamino)-4-phenoxy-5-sulfamoylbenzene sulfonic acid. 5-(氨磺酰)-2-[(2-呋喃甲基)氨基]-4-苯氧基苯磺酸。 5-(Aminosulfonyl)-2-[(2-furanylmethyl)amino]-4-phenoxybenzenesulfonic acid. 利尿药。 苏罗酰胺。 Sulosemide. INN,USAN.  |