网站首页  词典首页


请输入您要查询的字词:

 

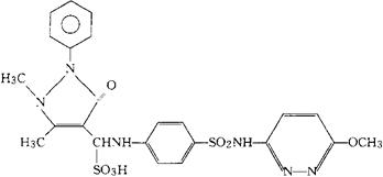
字词 磺胺马宗
类别 中英文字词句释义及详细解析
释义 磺胺马宗

C23H24N6O7S2=560.60

CAS-65761-24-2

α-[对-[(6-甲氧-3-哒嗪基)氨磺酰]苯胺基]-2,3-二甲基-5-氧代-1-苯基-3-吡唑啉-4-甲磺烷酸。

α-[p-[(6-Methoxy-3-pyridazinyl)sulfamoyl]anilino]-2,3-dimethyl-5-oxo-1-phenyl-3-pyrazoline-4-methanesulfonic acid.

磺胺类药。

磺胺达唑啉。

Sulfamazone.

DCIT,USAN.

随便看

 

离鸟网收录3541549条中英文词条,其功能与新华字典、现代汉语词典、牛津高阶英汉词典等各类中英文词典类似,基本涵盖了全部常用中英文字词句的读音、释义及用法,是语言学习和写作的有利工具。

 

Copyright © 2004-2024 vtrois.com All Rights Reserved
更新时间:2026/4/7 5:21:38