网站首页  词典首页


请输入您要查询的字词:

 

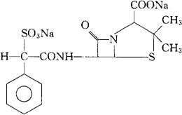
字词 磺苄西林钠
类别 中英文字词句释义及详细解析
释义 磺苄西林钠

C16H16N2Na2O7S=458.43

CAS-41744-40-5(sulbenicillin)

3,3-二甲基-7-氧代-6-(2-苯基-2-磺乙酰胺基)-4-硫杂-1-氮杂双环[3.2.0]庚烷-羧酸二钠盐。

3,3-Dimethyl-7-oxo-6-(2-phenyl-2-sulfoacetamido)- 4-thia-1-azabicylclo[3.2.0]heptane-2-carboxylicacid disodium salt.

抗生素药。用于绿脓杆菌、变杆形菌、克勒菌、大肠杆菌、感冒杆菌及革兰氏阴性杆菌等的感染。

α-磺苄青霉素钠。

Sulbenicillin Sodium,Sulbenicillin Disodium,Sodium Sulbenicillin,Kedacillin,Lilacillin,Suncillin.

注射用磺苄青霉素钠。

JAN,MI.

随便看

 

离鸟网收录3541549条中英文词条,其功能与新华字典、现代汉语词典、牛津高阶英汉词典等各类中英文词典类似,基本涵盖了全部常用中英文字词句的读音、释义及用法,是语言学习和写作的有利工具。

 

Copyright © 2004-2024 vtrois.com All Rights Reserved
更新时间:2026/5/25 12:58:42