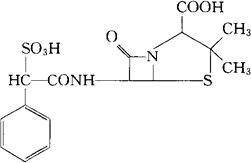
磺苄西林[中]
C16H18N2O7S=414.45 CAS-34779-28-7 3,3-二甲基-7-氧-6-(2-苯基-2-磺乙酰胺基)-4-硫杂1-氮杂双环[3.2.0]庚烷-2-羧酸。 3,3-Dimethyl-7-oxo-6-(2-phenyl-2-sulfoacetamido)-4-thia-1-azabicyclo[3.2.0]heptane-2-carboxylic acid. 抗生素类药。用于溶血性链球菌、肺炎球菌、绿脓杆菌及大肠杆菌等引起的感染。 α-磺苄基青霉素,α-磺酸基苄基青霉素。 Sulbenicillin(e),Sulfocillin,α-Sulfobenzylpeniclllin. INN,DCIT,JP,NFN,USAN,MI. 
|