网站首页  词典首页


请输入您要查询的字词:

 

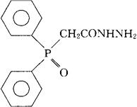
字词 福司肼
类别 中英文字词句释义及详细解析
释义 福司肼

C14H15N2O2P=274.26

CAS-16543-10-5

(二苯基次膦酰)-乙酰肼。

(Diphenylphosphinyl)-acetic acid,hydrazide.

安定药。

Fosenazide.

INN,USAN.

随便看

 

离鸟网收录3541549条中英文词条,其功能与新华字典、现代汉语词典、牛津高阶英汉词典等各类中英文词典类似,基本涵盖了全部常用中英文字词句的读音、释义及用法,是语言学习和写作的有利工具。

 

Copyright © 2004-2024 vtrois.com All Rights Reserved
更新时间:2026/4/7 3:11:59