网站首页  词典首页


请输入您要查询的字词:

 

字词 福尔可定[中]
类别 中英文字词句释义及详细解析
释义 福尔可定[中]

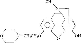
C23H30N2O4·H2O=416.50

CAS-509-67-1

吗啉基乙基吗啡。

Morpholinyl ethylmorphine.

中枢抑制药。具有镇咳、镇痛作用等。用于剧烈咳嗽和中度的疼痛。

吗啉吗啡,吗啉乙基吗啡。

Pholcodine,Codylin,Homocodeine,Pholcolin.

福尔可定片。

INN,BP,BAN,DCF,EP,FP,Ip,NFN,USAN,MI.

随便看

 

离鸟网收录3541549条中英文词条,其功能与新华字典、现代汉语词典、牛津高阶英汉词典等各类中英文词典类似,基本涵盖了全部常用中英文字词句的读音、释义及用法,是语言学习和写作的有利工具。

 

Copyright © 2004-2024 vtrois.com All Rights Reserved
更新时间:2026/5/31 22:19:03