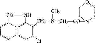
福米诺苯[中]
C21H24ClN3O3=401.89 CAS-18053-31-1 3′-氯-α-[甲基[(吗啉基羰基)甲基]氨基]-邻-苄酰甲苯胺。 3′-Chloro-α-[methyl[(morpholinocarbonyl)methyl]amino]-o-benzotoluidide. N-[3-氯-2-[[甲基[2-(4-吗啉基)-2-氧代乙基]氨基]甲基]苯基]苯甲酰胺。 N-[3-Chloro-2-[[methyl[2-(4-morpholinyl)-2-oxoethyl]amimo]methyl]phenyl]benzamide. 镇咳药,呼吸兴奋药。 胺酰苯吗啉。 Fominoben,PB 89(as Hydrochloride). INN,USAN,MI.  |