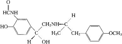
福莫特罗
C19H24N2O4=344.41 CAS-73573-87-2 (±)-2′-羟-5′-[(RS)-1-羟-[[(RS)-对-甲氧-α-甲基-苯-乙基]氨基]乙基]甲酰苯胺。 (±)-2′-Hydroxy-5′-[(RS)-1-hydroxy-[[(RS)-pmethoxy-α-methylphenethyl]amino]ethyl]formanilide. 支气管扩张药。用于平喘。 福莫特若。 Formoterol,CGP 25827ACGP-25827A-E. INN,USAN.  |