网站首页  词典首页


请输入您要查询的字词:

 

字词 离心泵的安装高度计算
类别 中英文字词句释义及详细解析
释义 离心泵的安装高度计算

[说明]防止汽蚀现象发生的离心泵的最大吸上高度称为允许安装高度。

式中 △Z允——最大允许吸上高度(m)

u2——液体流速(m/s)

h1——吸入管内的压头损失(m)

其它同前

[注意]为了保证泵的安全运转不致发生汽蚀,泵的安装高度要比计算的△Z值再低0.5~1m,即

[例]某封闭容器内贮有容重为1060kg/m3的某种溶液,溶液的饱和蒸汽压为0.48(kgf/cm2),贮槽溶液上方的绝对压强为0.6(kgf/cm2),要用一水泵从容器中抽出此溶液,所选泵的允许吸上真空高度为5.0m,若吸入管路内的压头损失为0.5m,求实际的吸上高度。

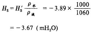
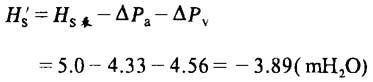
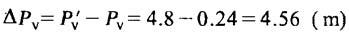
解:从泵的性能表上所查到的允许吸上真空高度为5m,是在下列规定条件下进行操作的:Pa=10.33mH2O,PV=0.24mH2O;而现在的操作条件是Pa′=0.6kgf/cm2=6mH2O,=0.48kgfcm2=4.8mH2O。操作条件不同,吸上真空高度要进行校正。根据校正原则[见前面“(二)”中所述内容]:

作用于液面上的压力减少的量为:

饱和蒸汽压增大的量为:

由此,可求出在操作条件下的允许吸上真空高度为:

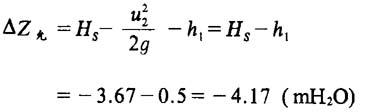
高度的校正:

若忽略,h1=0.5mH2O,则:

为安全运转,将泵吸入口再降低0.5m,所以,实际安装高度为:

△Z=-4.17-0.5=-4.67(m)

即在本操作条件下,离心泵的入口应安装在贮槽液面以下4.67m处的位置。

随便看

 

离鸟网收录3541549条中英文词条,其功能与新华字典、现代汉语词典、牛津高阶英汉词典等各类中英文词典类似,基本涵盖了全部常用中英文字词句的读音、释义及用法,是语言学习和写作的有利工具。

 

Copyright © 2004-2024 vtrois.com All Rights Reserved
更新时间:2026/4/7 9:54:00