网站首页  词典首页


请输入您要查询的字词:

 

字词 秋分草
类别 中英文字词句释义及详细解析
释义 秋分草

【名称出处】:《广西药用植物名录》

【概况】:

异名 大鱼鳅串(《全国中草药汇编》)。

基源 为菊科秋分草属植物秋分草的全草。秋分草属为单种属,中国有产,并入药。

原植物 秋分草Rhynchospermum verticillatum Reinw.

形态 多年生草本,高25~100cm。

茎单生,稀簇生,被尘土状柔毛。

叶两面疏生短伏毛;基部叶花期常凋落;茎中、下部叶倒披针形、长椭圆形稀匙形,长4.5~14cm,宽2.5~4cm,基部渐狭,边缘有波状锯齿,稀全缘;茎上部叶渐小,全缘或有尖齿。头状花序单生或近总状花序,直径4~5mm;花序梗密被锈色短柔毛;总苞宽钟状半球形,宽3~4mm,总苞片不等长,卵状长椭圆形,边缘膜质,撕裂;舌状花2~3层、雌性,白色,舌片长1.2mm,外面被腺点;中央管状花两性,长约2mm,被腺点。舌状花瘦果扁压,长椭圆形,长4mm,喙长,有脉状加厚的边缘,被棕黄色腺点;管状花瘦果喙短或无;冠毛纤细,易脱落。花果期8~11月。(图见《中国高等植物图鉴》.第4册.415页.图6244)

生境与分布 生于海拔400~2500m的林缘或林下沟边阴湿处。分布于福建、台湾、江西、湖北、湖南、广东及西南各地。日本及东南亚也有分布。

【化学】:

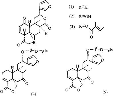
含内-頳桐烷二萜成分。从全草中分得5个新的内-頳桐烷二萜类化合物:秋风草素(Rhynchosperin)A(1)、B(2)、C(3)和秋风草甙(Rhynchospermoside)A(4),B(5)。

参考文献 Phytochemistry 1987;26(12):3289

【药性】:

性味 淡,平。

功效 清热,利水。

主治 急、慢性肝炎,肝硬化腹水,白带,崩漏。

用法用量 内服:煎汤,15~60g。

。【临床应用】:

单方应用 《全国中草药汇编》:“治急、慢性肝炎,肝硬化腹水,崩漏,白带:大鱼鳅串15~60g。水煎服。”

随便看

 

离鸟网收录3541549条中英文词条,其功能与新华字典、现代汉语词典、牛津高阶英汉词典等各类中英文词典类似,基本涵盖了全部常用中英文字词句的读音、释义及用法,是语言学习和写作的有利工具。

 

Copyright © 2004-2024 vtrois.com All Rights Reserved
更新时间:2026/5/26 21:24:39