移动平均数方法
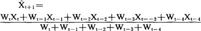
根据时间数列的各期数值作出非直线趋势线的一种比较简单的方法。 是一种初级的定量预测方法,包括一次移动平均数方法、二次移动平均数方法、简单移动平均数预测方法和加权移动平均数方法等。例如用3个时期的时间长度,从第1、第2、第3个时期的数值,得出第2个时期的数值,然后从第2、第3、第4个时期的数值得出第3个时期的数值,依次进行下去。 如果时间长度为偶数时,则应再计算一次两个时期的移动平均数,使数值能对准各个时期。 再如加权移动平均数预测法的例子。设W代表权数,则求t+1时期的预测数时,以5个时期的加权移动平均数为例,预测公式为:  在t时期计算N个时期的加权移动平均数的时候,一般的预测公式可写成:  在上述例子中,假定Wt=5,Wt-1=4,Wt-2=3,Wt-3=2,Wt-4=1,则5个时期的加权移动平均数预测公式可计算如下:  其中Xt=19,Xt-1=16,Xt-2=Xt-3=17,Xt-4=14。 在预测数受近期资料影响较大的时候,除缩短时间长度以外,还可用加权的方法达到同样的目的。 一般是给近期数值更大的权数,即时期越近越重要,所以权数就越大。 |