网站首页  词典首页


请输入您要查询的字词:

 

字词 移轴公式
类别 中英文字词句释义及详细解析
释义 移轴公式

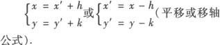
设平面内任一点M,它在原坐标系xOy中的坐标是(x,y),在新坐标系x′O′y′中的坐标是(x′,y′),设新坐标的原点O′在原坐标系的坐标是(h,k),则点M的原坐标、新坐标之间有下面的关系,如图:

随便看

 

离鸟网收录3541549条中英文词条,其功能与新华字典、现代汉语词典、牛津高阶英汉词典等各类中英文词典类似,基本涵盖了全部常用中英文字词句的读音、释义及用法,是语言学习和写作的有利工具。

 

Copyright © 2004-2024 vtrois.com All Rights Reserved
更新时间:2026/4/6 21:52:14